深圳市東么川伺服控制技術有限公司
電話:13316379101
郵箱:1355229533@qq.com
地址:深圳市龍華區民治街道樟坑社區青創城A棟B502
RMS電流在步進電機應用的重要性
發布時間:2022-11-10 08:51:05
大多數精密步進電機應用——尤其是自動化和運動控制應用——使用一種稱為微步進的控制方法,它產生正弦(或接近正弦)電流波形,而不是典型的全步控制產生的電流方波。
步進電機的額定電流取決于功率大小,因此也取決于電機繞組可以承受的熱量。功率與電阻和電流的平方直接相關(P = I 2 R),因此電流對電機發熱至關重要。(請記住,電阻是電機繞組的一個屬性,因此對于給定的電機它保持不變。)
為了量化電機內部的熱量,我們使用了隨著時間的推移傳遞到電機的平均功率——因此,I 2的平均值。但是因為微步進控制的正弦波形意味著電流會隨著時間不斷變化并反轉方向(從正到負)——很像交流電流波形——我們需要使用電流的時變平均值,這是均值平方或 RMS,當前值。

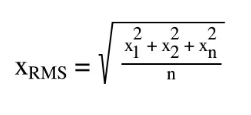
均方根是一種找出一組值的平均值或平均值的統計方法。要找到均方根,首先將每個值平方并求平方和。然后將總和除以值的數量。這給了你平均值。最后,取均值的平方根,結果就是 RMS 值。

RMS電流與峰值電流的關系為:

用直角三角形的幾何形狀很容易將其可視化,如這篇文章所示。
簡而言之,如果您繪制一個簡單的步進序列(此示例使用 8 個步驟),X 軸為 A 相電流,Y 軸為 B 相電流,您可以看到沿步進序列的最大或峰值電流任一相的電流為 1.414 A,或 1 A 的 RMS 電流的 1.414 倍。(此練習適用于任何 I RMS值。例如,如果 I RMS為 3 A,則 I peak將為 3 * 1.414 = 4.242 A。)

查看在位置 7 形成的三角形并使用勾股定理,您可以推導出峰值和 RMS 電流之間的關系:

步進驅動器有兩種基本類型:為電機提供恒定電壓的L/R 驅動器和為電機提供恒定電流的斬波器驅動器。在高速、L/R 或恒定電壓下,由于電機繞組的時間常數,驅動器難以為電機提供足夠的電流以達到額定轉矩。這將 L/R 驅動器的使用主要限制在低速應用中。
這就是為什么許多步進電機應用使用斬波器驅動和微步進控制的原因。斬波器驅動器快速切換電壓開關(一種稱為“斬波”的方法)以控制電機的電流量。在每個電機步進的開始,非常高的電壓(通常是電機標稱電壓的八倍)被施加到繞組上,導致電流快速上升并達到更高的水平。斬波頻率由脈寬調制控制,因此無論電壓如何,都向電機提供恒定的 RMS 電流值。
為避免超過步進電機的峰值電流能力并避免可能的電機損壞,重要的是要注意電機的額定電流是峰值還是 RMS 以及所使用的驅動器類型(L/R 或斬波器)。
- 上一篇:步進驅動器匹配步進電機需要兼容哪些參數?
- 下一篇:步進電機添加編碼器實現絕對定位
產品推薦:兩相步進電機
產品推薦:無刷電機
產品推薦:兩相步進驅動器
產品推薦:直流無刷驅動器




























地址 ADDRESS